| 导波雷达水位计系列产品 |
|---|
|
DYJ系列导波雷达高压双色水位计 1、特点及适用范围 DYJ系列导波雷达高压双色水位计是专为火电机组的锅炉汽包而设计的一种水位计,适用于高温高压条件下液位的测量。它采用德国原装进口的导波雷达物位仪安装在旁通管中,配备设计的LED光柱显示系统,使得水位的观测更加方便、准确、清晰、美观大方,在电视监视上显示更加完美。由于该产品结构上无泄漏点,因此寿命长,免维护,大大减少了检修人员的劳动强度且人身安全得到更好的保障,克服了原水位计泄漏频繁、需经常冲洗和更换备品备件、以及每年大量的维修费等诸多问题,是一种目前理想的汽包水位计。
2、技术参数 工作压力:-0.1~40Mpa 工作温度:-196~450℃ 测量范围:3m 测量精度:±5mm 电源:24VDC 输出信号:两线制 4~20mA HART 水位显示:传感器数字显示/光柱显示/远程控制 中心距离:用户提供 接口形式:焊管/法兰 环境温度:-20~60℃
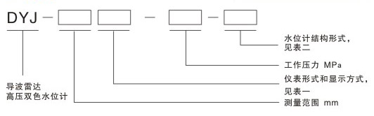
3、型号说明
示例:DYJ-450E1-22-PFZ 说明:导波雷达超高压水位计,可测量范围450mm,整体式仪表与测量管系统直联,数字显示测量值,工作压力22MPa,含平衡管系统、排污阀及光柱显示系统。
4、现场应用及运行报告
>>> 霍煤鸿骏铝电公司 <<<
>>> 牡丹江第二发电厂 <<<
|














